SGTR Home | Contact us

Main Steam Line Break at Hot Zero Power

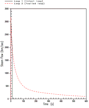
(Figures 15.1.5-1 etc.).  Loop 2 is the break side.
mslb2

mslb4

mslb6
mslb8
mslb10
mslb12
mslb14
mslb16
mslb18
mslb20
mslb22
mslb24
mslb26
mslb28